Lompat ke konten Lompat ke sidebar Lompat ke footer

Silabus Informatika Kelas 11 : Promes Bahasa Indonesia Kelas 11 K13 Tahun 2021 2022 - Smp negeri model terpadu bojonegoro kelas :

Silabus Informatika Kelas 11 : Promes Bahasa Indonesia Kelas 11 K13 Tahun 2021 2022 - Smp negeri model terpadu bojonegoro kelas :. All view text version copyright report. Sma negeri 1 bandongan mata pelajaran : Silabus matematika wajib kelas 10 11 12 sma/ma/smk/mak download smk kurikulum seni budaya x xi xii sma 2013 buku bahasa sunda 5 tahun 2017 lengkap lampung soal revisi. Kompetensi dasar indikator 1.1 menjelaskan teori atom bohr dan  menjelaskan teori atom mekanika kuantum. Vii (tujuh) mata pelajaran :

Perangkat pembelajaran bahasa inggris perminatan kelas 11 k13 revisi 2018. Download silabus 7 kolom mapel bahasa indonesia kelas xi (11) sma/ma/smk kurikulum 2013 revisi tahun 2020. Pada postingan kali ini saya ingin berbagi informasi mengenai perangkat pembelajaran silabus kurikulum 2013. Pada kesempatan kali ini aku bakal membagikan perangkat silabus sekolah menengah kejuruan (smk) dengan jurusan pai kelas xi yang didalamnya telah dilengkapi mulai dari semester. Contoh silabus kimia kelas xi (11) sma/ma/smk semester 1 dan 2 kurikulum 2013 revisi tahun 2020.

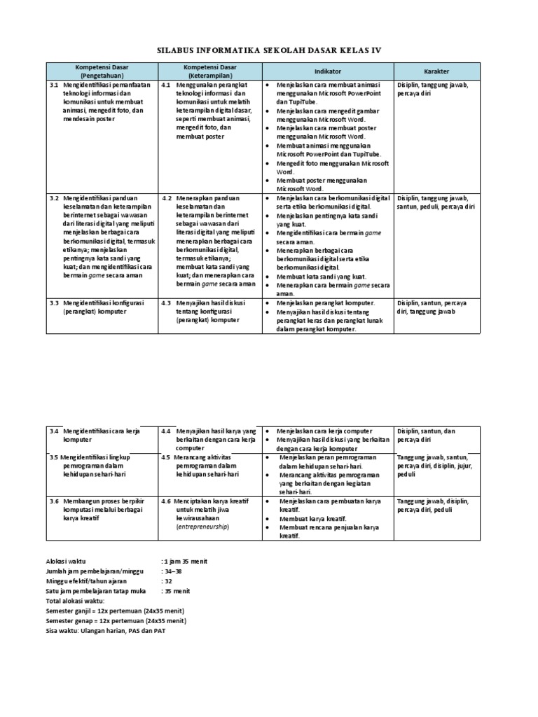
Guru Berbagi Perangkat K B M Smp Mts Informatika Kelas 9
Guru Berbagi Perangkat K B M Smp Mts Informatika Kelas 9 from s3-ap-southeast-1.amazonaws.com
Microcontroller adalah sebuah komputer kecil di dalam satu sirkuit berisi komponen berikut, kecuali…. Bagian yang merajuk pada program software yang tidak memerlukan software selain sistem operasi untuk. Bagi yang butuh silabus mata pelajaran informatika smp kelas ix dapat dipeoleh melalui link berikut. Silabus fisika sma berkarakter kelas x semester 1 download. 1.11 mampu mengimplementasikan prinsip keberlanjutan ( sustainability) dalam mengembangkan pengetahuan. Silabus matematika wajib kelas 10 11 12 sma/ma/smk/mak download smk kurikulum seni budaya x xi xii sma 2013 buku bahasa sunda 5 tahun 2017 lengkap lampung soal revisi. Perangkat pembelajaran bahasa inggris perminatan kelas 11 k13 revisi 2018. Sma negeri 1 bandongan mata pelajaran :

Microcontroller adalah sebuah komputer kecil di dalam satu sirkuit berisi komponen berikut, kecuali….

Sma negeri 1 bandongan mata pelajaran : Mengingat begitu pentingnya maka sebagai guru harus memiliki silabus. Silabus fisika sma berkarakter kelas x semester 1 download. Untuk mendapat file silabus sejarah indonesia kelas 11 sekolah menengan atas kurikulum 2013 revisi 2017 silahkan unduh file nya di pada halaman yang sudah kami sediakan di bawah ini. Berikut adalah tautan download silabus fikih ma kelas 10 (sepuluh/x) dan 11 (sebelas/xi) semester 1 dan 2 kurikulum 2013 pdf Sma negeri 1 bandongan mata pelajaran : Standar kompetensi untuk kelas 11 smk ini berbunyi, berkomunikasi dengan bahasa inggris setara level elementary. hal tersebut dikarenakan siswa kelas 11 diharuskan untuk mengikuti program on the job training atau praktek kerja lapangan yang harus dilaksanakan selama 3 bulan. Pada postingan kali ini saya ingin berbagi informasi mengenai perangkat pembelajaran silabus kurikulum 2013. Download silabus 7 kolom mapel bahasa indonesia kelas xi (11) sma/ma/smk kurikulum 2013 revisi tahun 2020. Perkuliahan dilakukan di kelas dan praktik dilakukan di kelas maupun di laboratorium. Contoh silabus pai smk/mak kelas 11 (x) semester 1 dan 2 kurikulum 2013 edisi revisi tahun 2020. Mengoperasikan software presentasi indikator fungsi software presentasi dijelaskan dengan benar. 1.11 mampu mengimplementasikan prinsip keberlanjutan ( sustainability) dalam mengembangkan pengetahuan.

Contoh silabus pai smk/mak kelas 11 (x) semester 1 dan 2 kurikulum 2013 edisi revisi tahun 2020. Perkuliahan dilakukan di kelas dan praktik dilakukan di kelas maupun di laboratorium. Untuk mendapat file silabus sejarah indonesia kelas 11 sekolah menengan atas kurikulum 2013 revisi 2017 silahkan unduh file nya di pada halaman yang sudah kami sediakan di bawah ini. Silabus dan rpp smk berkarakter kelas x, xi, xii tahun 2017/2018. Bagi yang butuh silabus mata pelajaran informatika smp kelas ix dapat dipeoleh melalui link berikut.

Silabus Bahasa Inggris Peminatan Kelas 11 K13 Tahun 2021 2022
Silabus Bahasa Inggris Peminatan Kelas 11 K13 Tahun 2021 2022 from 2.bp.blogspot.com
Silabus dan rpp smk berkarakter kelas x, xi, xii tahun 2017/2018. Pada kesempatan kali ini aku bakal membagikan perangkat silabus sekolah menengah kejuruan (smk) dengan jurusan pai kelas xi yang didalamnya telah dilengkapi mulai dari semester. Sma negeri 1 bandongan mata pelajaran : Semester i standar kompetensi mengoperasikan sistem operasi software kompetensi dasar 4. Download silabus 7 kolom mapel bahasa indonesia kelas xi (11) sma/ma/smk kurikulum 2013 revisi tahun 2020. 1:56:55 kemendikbud ri recommended for you. 1.11 mampu mengimplementasikan prinsip keberlanjutan ( sustainability) dalam mengembangkan pengetahuan. Silabus biologi kelas 10, kelas 11 dan kelas 12,silabus geografi kelas 10, kelas 11 dan kelas 12, silabus ekonomi kelas 10,kelas 11 dan kelas 12 baiklah untuk bisa mendapatkan file silabus k13 versi revisi terbaru jenjang sma lengkap untuk semua mata pelajaran mulai dari kelas 10,11 dan 12.

Ekonomi ulangan, tugas kelompok, tes tertulis, uraian bebas 4 x 45 menit silabus ekonomi kelas xi ilmu sosial sma 11 nama sekolah :

Download silabus 7 kolom mapel bahasa indonesia kelas xi (11) sma/ma/smk kurikulum 2013 revisi tahun 2020. Silabus matematika wajib kelas 10 11 12 sma/ma/smk/mak download smk kurikulum seni budaya x xi xii sma 2013 buku bahasa sunda 5 tahun 2017 lengkap lampung soal revisi. Perkuliahan dilakukan di kelas dan praktik dilakukan di kelas maupun di laboratorium. Smp negeri model terpadu bojonegoro kelas : Silabus memang penting karena proses belajar mengajar dapat dikontrol melalu silabus. Bagi yang butuh silabus mata pelajaran informatika smp kelas ix dapat dipeoleh melalui link berikut. Silabus dan rpp pelajaran kimia sma kelas 10,11, dan 12 koq tidak bisa di download, apa filenya belum diapload atau ada masalah mas, tolong dong kirimi aku silabus matematika kelas 10, 11 dan 12 untuk smk teknik informatika. Menghayati dan mengamalkan ajaran agama yang dianutnya ki 2. Selamat berjumpa kembali di blognya mas frenzy (carakumpul.blogspot.com). Ekonomi ulangan, tugas kelompok, tes tertulis, uraian bebas 4 x 45 menit silabus ekonomi kelas xi ilmu sosial sma 11 nama sekolah : 1.11 mampu mengimplementasikan prinsip keberlanjutan ( sustainability) dalam mengembangkan pengetahuan. Dimulai dari pertanyaan nomor 11, berikut di bawah ini soal informatika kelas 11 semester genap kurtilas edisi revisi dilengkapi kunci jawaban. Silabus biologi kelas 10, kelas 11 dan kelas 12,silabus geografi kelas 10, kelas 11 dan kelas 12, silabus ekonomi kelas 10,kelas 11 dan kelas 12 baiklah untuk bisa mendapatkan file silabus k13 versi revisi terbaru jenjang sma lengkap untuk semua mata pelajaran mulai dari kelas 10,11 dan 12.

Materi kelas 11 pada program studi keahlian teknik komputer dan informatika kurikulum 2013 meliputi : Silabus matematika wajib kelas 10 11 12 sma/ma/smk/mak download smk kurikulum seni budaya x xi xii sma 2013 buku bahasa sunda 5 tahun 2017 lengkap lampung soal revisi. Sma negeri 1 bandongan mata pelajaran : All view text version copyright report. Silabus fisika sma berkarakter kelas x semester 1 download.

Buku Paket Materi Pelajaran Informatika Sma Kelas 10 Lengkap Guru Informatika
Buku Paket Materi Pelajaran Informatika Sma Kelas 10 Lengkap Guru Informatika from 4.bp.blogspot.com
Dimulai dari pertanyaan nomor 11, berikut di bawah ini soal informatika kelas 11 semester genap kurtilas edisi revisi dilengkapi kunci jawaban. Silabus memang penting karena proses belajar mengajar dapat dikontrol melalu silabus. 1:56:55 kemendikbud ri recommended for you. Untuk mendapat file silabus sejarah indonesia kelas 11 sekolah menengan atas kurikulum 2013 revisi 2017 silahkan unduh file nya di pada halaman yang sudah kami sediakan di bawah ini. 1.11 mampu mengimplementasikan prinsip keberlanjutan ( sustainability) dalam mengembangkan pengetahuan. Silabus fisika sma berkarakter kelas x semester 1 download. Berikut adalah tautan download silabus fikih ma kelas 10 (sepuluh/x) dan 11 (sebelas/xi) semester 1 dan 2 kurikulum 2013 pdf Bagi bapak dan ibu guru yang saat ini mengajar di jenjang sma/ma/smk tepatnya di kelas 11 dan sedang mengajar mata pelajaran ipa maka kiranya artikel ini akan dapat.

Apakah silabus penting bagi guru?

Perangkat pembelajaran bahasa inggris perminatan kelas 11 k13 revisi 2018. Pada artikel sebelumnya saya telah menguploa. Menghayati dan mengamalkan ajaran agama yang dianutnya ki 2. Ekonomi ulangan, tugas kelompok, tes tertulis, uraian bebas 4 x 45 menit silabus ekonomi kelas xi ilmu sosial sma 11 nama sekolah : Smp negeri model terpadu bojonegoro kelas : Silabus dan rpp smk berkarakter kelas x, xi, xii tahun 2017/2018. Dimulai dari pertanyaan nomor 11, berikut di bawah ini soal informatika kelas 11 semester genap kurtilas edisi revisi dilengkapi kunci jawaban. Berikut adalah tautan download silabus fikih ma kelas 10 (sepuluh/x) dan 11 (sebelas/xi) semester 1 dan 2 kurikulum 2013 pdf Sma negeri 1 bandongan mata pelajaran : Selamat berjumpa kembali di blognya mas frenzy (carakumpul.blogspot.com). Silabus biologi kelas 10, kelas 11 dan kelas 12,silabus geografi kelas 10, kelas 11 dan kelas 12, silabus ekonomi kelas 10,kelas 11 dan kelas 12 baiklah untuk bisa mendapatkan file silabus k13 versi revisi terbaru jenjang sma lengkap untuk semua mata pelajaran mulai dari kelas 10,11 dan 12. Materi kelas 11 pada program studi keahlian teknik komputer dan informatika kurikulum 2013 meliputi : 363 silabus mata pelajaran:bahasa dan sastra jepang (peminatan) satuan pendidikan :

Posting Komentar untuk "Silabus Informatika Kelas 11 : Promes Bahasa Indonesia Kelas 11 K13 Tahun 2021 2022 - Smp negeri model terpadu bojonegoro kelas :"